宽频锥形电感器在集成电路中的理论模型及测试
发布时间:2024-09-24
浏览量: 2040
宽频锥形电感器在集成电路中的理论模型及测试
介绍一种圆锥形电感器的集总电路模型分析。该模型准确地宽频锥形电感器这种电感器的模型及高性能参数。宽频锥形电感器并被业界广泛应用于阻抗匹配、偏置阻流圈和高频调压器等宽带带宽应用。该电感器测试的样品来自南京科大渡盈的“DYTIV0101M0034N70-AB”型号。
“DYTIV0101M0034N70-AB”型号的宽频锥形电感器的工作带宽高达40 GHz,在相对较低的尺寸上具有低损耗和高电感。锥体形状和磁性填充材料具有独特的高电感和宽带响应的电感。但是锥形电感器不同于圆柱形的电感器,其电学性能理论模型并没有直接的表达。本文提出的锥形电感的“伪矢量”模型是基于平面螺旋电感和圆柱形电感的组合。该模型较为准确地描述了圆锥形电感器在高频条件下的性能。该模型通过3D-HFSS模拟和实际测量验证了。“DYTIV0101M0034N70-AB”型号的电感器。
一、“伪向量”建模
利用锥形电感模型作为同轴环堆叠的电感进行解析计算,产生了许多不同的结果[1、2]。因此,假设总电感可以通过代表两个电感的两个“伪向量”的几何叠加来计算,如图1所示。“伪向量”值可以描述为圆锥形电感器在垂直和平行于其对称轴的两个平面上的几何投影的电感。总圆锥形电感是垂直和横向电感“伪矢量”的“矢量和”。垂直电感对应于一个半径恒定的有限度螺旋电感,而横向电感对应于螺旋平面电感。有限的垂直螺旋电感用惠勒公式[3]表示:
圆形平面电感用零阶近似[4]表示:
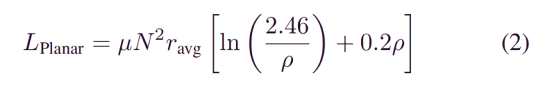
其中,ravg =(R + r)/2为锥形电感的平均半径,N为圈数,l为锥形电感的垂直长度,ρ =(R−r)/(R + r)定义为纤维填充比。图1显示了一个典型的锥形电感,内半径为r,外半径为r。
图1. 圆锥形电感器模型为螺旋和平面螺旋电感器的伪矢量和
如上所示,其电感可以为模型为两个简单结构的叠加,螺旋和平面,由“伪电感向量”模量描述:
其中,LHelical可以通过(1)计算,而LPlanar可以通过(2)计算。式(3)是一个可扩展的物理模型,可以准确地预测具有不同结构参数的电感器的行为。
2、锥形电感器的带宽
在电源管理集成电路(PMICs)和高频电路(RF)中,电感器在宽频段工作以确保在所有频率下的良好性能是至关重要的。电感的带宽由寄生分流电容器决定,该电容存在于任意两个线圈(匝)和它的主电感之间。

图2. 基于锥形电感的等效电路RLC模型
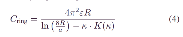
图2显示了一个简单的RLC模型,它描述了总数与电感器并联的寄生电容器。很明显,电感的带宽是由第一共振频率(Resonance Frequency)决定的。当频率高于第一SRF时,电感的无功部分开始作为电容器工作,不能再用作纯电感。以平行平面对称排列的两根相同导线之间的电容为[5]:
式中,R是环的半径,d-是环心之间的螺距,a-是线的半径,K (κ)是模量κ2=R2/R2+/R2(0.5d)2的完全椭圆积分。
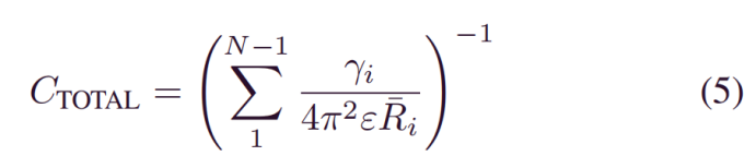
总寄生电容为N−1串联连接电容器的和。由于电容器的串行连接,N个环的总电容受到最小电容器值的限制。最小电容对应最小的环和第二小的环。因此,可以假定一个锥形电感器的总电容受到两者之间的电容的限制具有平均半径的最小环。
图3。DYTIV0101M0034N70-AB锥形电感器,采用粉末铁磁材料,26个线圈,直径0.24mm,外半径1.4mm,内半径0.1mm,总长度7mm。(a)宣传册的模型。(b)实物电感。
因此,通过使用(4),图3(a)中所示的电感器的总电容受到58(fF)值的限制。此外,利用五阶模型,我们进一步近似化了N个环间的总两端平行电容。

式中,¯Ri为两个连续环之间的平均半径,γi为(4)的分母的数值。对于图3所示的测量电感器,通过使用(5),总电容等于8.48(fF)。因此,第一个SRF可以通过初始电感和初始电流的谐振来计算总电容。

其中,L为使用(3)的初始电感,C为(5)中估计的并联电容。利用(3)和(5)作为一个优点,我们可以预测锥形电感器和SRF的带宽。如图3(a)所示的商业电感器,第一个SRF为2.055(GHz)。电感器的串联寄生电阻(ESR)可以建模为对应的直流绕组电阻(DCWR)。
到总绕组长度lw,直径2Rw,材料电导率σ等于:

因此,图3(a)中所示的电感器的DCWR等于0.043 (Ω),其中铜的电导率等于17(nΩ m)。在高频下,金属化的电阻被修正为皮肤和接近效应,这可以通过皮肤深度因子δ 来计算。另一个与频率相关的因素电阻对应于电感器内的磁芯。核心系列寄生电阻是由于迟滞损耗和涡流损耗。
三、增值仿真结果及建模比较
为了证实和验证模型(3),我们使用了三维EM模拟器HFSS。通过对不同几何参数的气芯锥形电感的少量拓扑进行建模,并用HFSS模拟其行为,可以证实所提出的解析模型。图3:(b)为HFSS中典型的三维圆锥形模型。为了分析模拟的结果,我们使用了一个π型电气模型,该模型一直有效到第一个自共振频率,如图2所示。该模型可以看作是一个RLC电路,其中线圈的电感和电容是并联的,电阻器与电感器是串联的。通过利用导纳参数,我们可以提取出电感器的基本参数。我们的模型关注于频率低于自共振频率时的电感;因此,我们只有在讨论自共振频率时,才会处理线圈(匝)之间的寄生电容。因此,该模型包括一个与电感分量串联的电阻分量。可以使用接收参数提取组件的值:L = −1/ [ωIm (Y11)],RESR = 1/Re (Y11)。

表1无芯锥形电感仿真与模型的电感比较
表一列出了仿真和伪向量方法之间的比较。我们比较了几种具有不同几何形状的电感器的电感,l-总长度(mm),R-大半径(mm),R-小半径(mm)和N-匝数。模拟结果是在中频10(MHz)条件下提取出来的。
四、测量结果
测量使用安捷伦4294A精密阻抗分析仪和一个在1 kHz-110 MHz范围内的夹具进行。图4显示了“DYTIV0101M0034N70-AB”电感器阻抗虚部的典型测量、模拟和RLC模型结果。测量、模拟和RLC模型的虚阻抗结果与电感器Im(ZL)= ωL的特性阻抗有很好的匹配。例如,用低渗透的粉末铁材料μ≈3制备的商业电感的测量电感为457(nH),模拟模型电感为435(nH)。5%的电感差异是由于核心磁性材料的模型不准确,假定其实磁导率高达150 MHz。表I #6显示了与图3(a)所示相同的电感器,但没有磁芯。因此,RLC模型图对应于RLC模型,如图2所示,其中L = 690 [nH],C = 8.48 [fF],R = 0.043 [Ω]。准确的测量结果与模型之间仅有2%的偏差,这表明了模型的有效性。

图4. 对电感器的阻抗虚部及其与频率的依赖性进行了测量、模拟和RLC模型的计算

图5. 基于Y11导参数到第一个SRF的阻抗虚部的模拟结果
与本文给出的分析模型吻合得很好。此外,第一个共振频率相对于RLC-集总模型非常好。
图5显示Y11虚部值相对恒定,高达1.5 GHz,表明高频时电感值恒定。
图6. 测量了电感器的q因子及其与频率的依赖关系
通过检查电感器的质量因子(Q因子),可以观察到频率相关电阻的膨胀R (f),如图6所示。在高达30 MHz时,电感器的Q因子随频率线性增加,这表明电阻与频率的依赖性较弱(主要是由于皮肤和接近效应)。在较高的频率下,q因子开始下降,由于强电阻与频率的依赖性(金属化和磁芯损耗)。然而,在90MHz,q因子达到一个恒定的值。
参考文献:
[1] Y. Bayazitoglu and U. B. Sathuvalli, “Field gradient analysis of a conical helix,” IEEE Trans. Magn., vol. 29, no. 1, pp. 88–97, Jan. 1993.
[2] P. N. Murgatroyd, “The optimal form for coreless inductors,” IEEE Trans. Magn., vol. 25, no. 3, pp. 2670–2677, May 1989.
[3] H. A. Wheeler, “Simple inductance formulas for radio coils,” Proc. Inst. Radio Eng., vol. 16, no. 10, pp. 1398–1400, Oct. 1928.
[4] T. H. Lee, The Design of CMOS Radio-Frequency Integrated Circuits. Cambridge, U.K.: Cambridge Univ. Press, 1998.
[5] Y. Y. Iossel, E. S. Kochanov, and M. G. Strunskiy, “The calculation of electrical capacitance,” Foreign Technol. Div., Air Force Syst. Command, U.S. Air Force, Wright-Patterson AFB, OH, USA, Apr. 1971.
[6] R. P. Wojda and M. K. Kazimierczuk, “Analytical optimization of solid-round-wire windings,” IEEE Trans. Ind. Electron., vol. 60, no. 3, pp. 1033–1041, Mar. 2013.
